欢迎访问浙江省长兴县中医院官方网站
院办信箱
|
收藏网站
搜索
首页
医院概况
新闻中心
4231米兰体育
医师介绍
科室导航
特色疗法
医院文化
科研教学
健康管理
学科建设
院务公开
您的位置:
首页
>>
院务公开
>> 详情
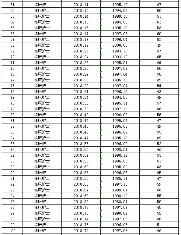
2018年长兴县中医院公开招聘编外护士进入操作+面试环节人员名单
发布时间:2018-03-20
作者/来源: 人事科
长兴县中医院
2018年3月20日
map